banner

ISPSD-2025丨超结MOSFET前沿技术研究报告

来源:  更新时间2025-08-15 13:51:38

图片
图片
图片

华润微电子

低EMI噪声超结MOSFET

P柱引入N点结构

图片
图片

超结MOSFET(SJ-MOSFET)凭借其优异的比导通电阻(Rₛₚ)性,已成为各类开关电源拓扑的核心器件。其核心优势在于N柱与P柱区域通过相互耗尽,可在保持高击穿电压的同时大幅提升掺杂浓度,有效降低Rₛₚ。然而,单元间距的缩小和掺杂分布的优化虽然进一步降低了Rₛₚ并增强了耗尽效果,却带来了一个关键挑战:栅漏电容(CGD)在特定工作点的突然下降。这种非线性变化会引发开关速度的急剧上升,并在关断过程中产生有害振荡,导致显著的电磁干扰(EMI)噪声,严重限制了SJ-MOSFET在高频应用中的潜力。


图片
图片

现有方案的瓶颈

图片
图片

为解决CGD突降问题,行业研究者们曾尝试多种方法:


图片

控制开关速度/网格栅结构

图片

通过增大整体CGD来缓解问题,但却以显著的开关损耗增加为代价。

图片

集成RC缓冲器

图片

在高频下提升CGD,但会引入约10%的Rₛₚ增加。

图片

增大波纹率

图片

减缓N/P柱耗尽速率,但会恶化击穿电压(V_B)与Rₛₚ之间的性能平衡。

图片
图片

创新解决方案

   N点区域位置优化   

图片
图片

基于前期研究发现——在P柱区域引入N点区域可有效抑制反向恢复过程中非平衡空穴的抽取速率并改善反向恢复特性,提出了一种创新性低EMI噪声SJ-MOSFET设计。其核心在于将N点区域的位置从P柱下部优化至上部的特定位置:

图片


图片

提升接地电阻与均匀耗尽

N点区域上移显著提高了P柱大部分区域的接地电阻。这使得源极接触的地电位无法直接传递至N点区域下方的P柱部分,从而实现了从柱顶到柱底更均匀的横向耗尽分布。

图片


图片

维持关键电学性能

器件电场分布及沿P柱电场分析表明,完全耗尽的N点区域对整体电场和击穿电压影响极小。N点区域剂量(Dₙ₋ₐₒₜ)的优化选择(3×10¹² cm⁻²)确保了击穿电压与传统结构(C-SJ)几乎一致(V_B≈746V),同时Rₛₚ维持在17.4 mΩ·cm²。


图片


图片


图片

实现平滑CGD特性

优化的N点上移位置与Dₙ₋ₐₒₜ共同作用,大幅提升了P柱接地电阻。这直接导致了N/P柱耗尽速率的显著放缓。模拟和实测CGD波形均明确显示:所提出结构在整个工作区间呈现平滑的CGD特性,彻底消除了传统结构在V_DS=40-60V区间典型的CGD突降现象。

图片


图片

显著抑制开关振荡与EMI噪声

平滑的CGD特性是改善开关行为的基石:

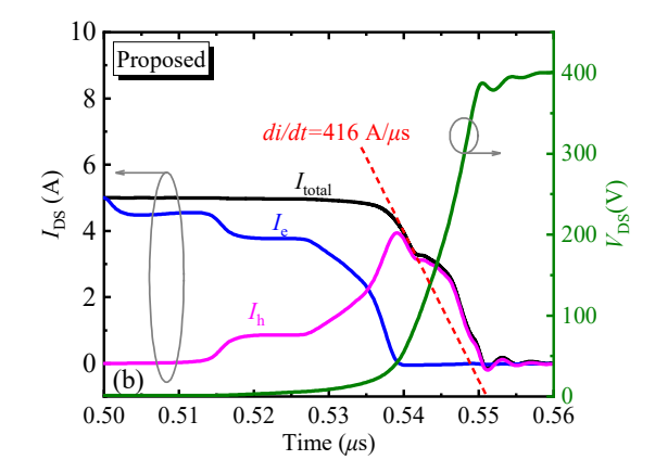
在关断瞬态,电子电流(I_c)下降更为平缓,避免了传统结构中因CGD骤降导致的陡峭dI_DS/dt(1420 A/μs -> 416 A/μs)和过高的dV_DS/dt。


图片


图片


实测感性负载关断波形(图9)验证了dI_DS/dt和dV_DS/dt的显著降低,栅极电压和漏极电流振荡大幅减弱。关断损耗仅轻微增加4.9%(10.2 µJ -> 10.7 µJ)。


图片


在66W反激式转换器的实测EMI对比中,所提出器件在关键30-60MHz频段(主要由开关速度决定)的辐射噪声峰值得到有效抑制,EMI噪声裕量较传统结构提升了约6dB以上。


图片


图片
图片

结论与应用价值

图片
图片

本研究成功开发并验证了一种在P柱上部引入N点区域的新型超结MOSFET结构。该设计通过精妙的位置优化,显著提高了P柱接地电阻,实现了:


平滑的CGD特性:消除了传统结构中的CGD突降。

卓越的EMI抑制:实测EMI噪声裕量提升超过6dB。

优异的性能平衡:在保持与传统器件同等击穿电压(≈746V)和比导通电阻(17.4 mΩ·cm²)的前提下,仅带来微小的关断损耗增加(~4.9%)。

优化的开关行为:dI_DS/dt、dV_DS/dt和开关振荡显著降低。


本文提出在P柱中引入N点区域的新型超结MOSFET结构,并通过实验验证其低EMI噪声特性。N点区域引入提高了P柱接地电位,使栅漏电容曲线显著平滑。实验结果表明,所提结构使EMI噪声裕量提高6dB以上,仅导致关断损耗轻微增加。这一改进得益于优化的开关速度和关断过渡期间减少的电压振荡,使该设计非常适合对EMI抑制要求较高的高频功率转换应用。


图片


关于旷通 


无锡旷通半导体有限公司成立于2023年3月,专注于高压大电流功率半导体器件的研发、设计和销售,是一家Fabless半导体技术公司。我们与华虹集团建立了紧密的合作关系,充分利用华虹作为全球领先的Fab厂的制造优势,确保产品的卓越品质和制造效率。这种深度合作不仅是我们技术实力的象征,也为我们在行业中的快速发展提供了坚实的基础。


公司以超结MOSFET及第三代半导体器件(如SiC和GaN)为主要研究方向,致力于通过技术创新和卓越的产品质量,满足不断发展的市场需求。我们的核心团队由来自半导体行业的资深专家组成,具备丰富的技术研发和管理经验,为公司技术创新提供了强大支撑。特别是在超结MOSFET和第三代半导体器件的研发中,团队的专业背景和技术积累使我们能够快速响应市场需求,不断推出高性能的创新产品。


我们运用核心技术推出了一系列高性能功率器件,这些产品均达到国际先进水平,广泛应用于消费电子、工业控制等领域。我们的使命是通过提供高可靠性、高效率的解决方案,帮助全球客户应对各种应用场景中的挑战。我们坚持技术引领、自主创新,公司多款核心芯片已实现量产,性能卓越,质量可靠,为客户创造了显著价值。


图片